实验室钟南山院士与李时悦教授团队在Chest杂志发表光学相干成像技术检测慢阻肺的论著
2016-12-144291慢阻肺(COPD)是世界上最常见的慢性气道疾病,其患病率、死亡率之高一直引起呼吸学界的重视。传统上呼吸科主要基于第一秒用力肺活量(FEV1)对COPD进行严重程度分级,但是COPD患者的气道重塑程度与气流受限的关系不甚明确;此外重度吸烟患者气道重塑程度是否与典型COPD患者有相似之处也少有报道。
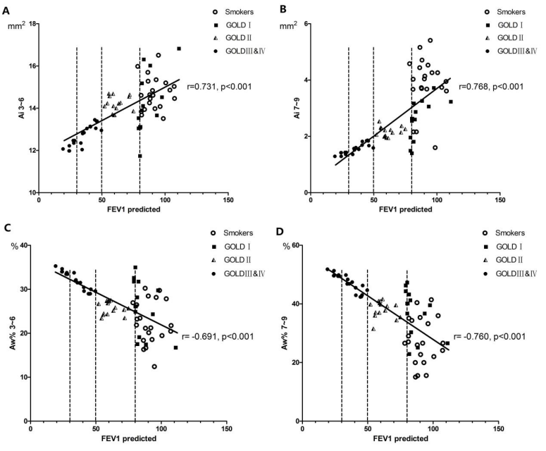
最近,钟南山院士和李时悦教授组织研究团队已经在人体中验证了经纤支镜行光学相干成像技术(EB-OCT)评估气道重塑程度的可靠性。在此基础上,团队进一步纳入了48例不同分级的COPD患者、21名肺功能正常人的重度吸烟患者、17例从未吸烟者。对COPD患者进行病史采集、用力肺活量测定、胸部CT、EB-OCT检测。本研究主要关注COPD患者、重度吸烟者、正常人各级支气管(第3-9分级)重塑程度的差异。

研究发现,COPD分级越高则大、小气道重塑程度越显著;与正常人相比较,重度吸烟者的气道也出现了显著的重塑特征。更有趣的是,重度吸烟者气道重塑的程度已经和1级COPD患者相近。传统用力肺活量指标FEV1与第7--9级支气管的管腔面积以及管径相关。但在1、2级COPD患者以及重度吸烟者中,FEV1与大/中等气道(第3--6级支气管)的管腔面积以及管径无关。


本研究的重要价值在于验证了EB-OCT作为判断COPD患者、重度吸烟者小气道重塑的临床价值;尽管传统用力肺活量指标确实与COPD的临床分级有一定的相关性,但EB-OCT的评价指标对反映COPD的分级更有价值。本研究还重点发现了重度吸烟患者已经存在显著的小气道重塑,尽管并非所有吸烟者都会发展出COPD,但是吸烟至少是引起气道重塑的重要因素。这将为今后临床医师对吸烟患者进行劝诫提供重要依据。此外,尽管目前国际上对是否应该恢复0级COPD仍持有不同的争议,本研究的发现将为重视COPD的早期干预(特别是1级COPD以前的病变)提供重要靶点。

据悉,本文的共同第一作者为丁明博士(现工作于东南大学呼吸科)、陈愉博士、关伟杰博士,通讯作者为李时悦教授,钟南山院士为课题的顺利进行提供全程指导。本文目前已经正式发表在著名的呼吸科杂志Chest上,文章索引为Ding M #, Chen Y #, Guan WJ #, et al.Measuring Airway Remodeling in Patients with Different COPD Staging Using Endobronchial Optical Coherence Tomography. Chest. 2016; 150: 1281-90,全文链接:http://journal.publications.chestnet.org/article.aspx?articleID=2545770
















